Постановление администрации Тюхтетского муниципального округа от 17.03.2023 № 39-п

 

Герб Тюхтетского района

КРАСНОЯРСКИЙ КРАЙ
АДМИНИСТРАЦИЯ
ТЮХТЕТСКОГО МУНИЦИПАЛЬНОГО ОКРУГА

ПОСТАНОВЛЕНИЕ

 

17.03.2023

с. Тюхтет

№ 39-п

Об утверждении Порядка проведения оценки эффективности реализации муниципальных программ Тюхтетского округа и критериев оценки эффективности реализации муниципальных программ Тюхтетского округа

В соответствии с пунктом 3 статьи 179 Бюджетного кодекса Российской Федерации, статьей 10 Положения о бюджетном процессе в Тюхтетском муниципальном округе Красноярского края, утвержденного решением Тюхтетского окружного Совета депутатов от 27.01.2021 № 2.1-49, руководствуясь статьями 33, 36 Устава Тюхтетского округа, ПОСТАНОВЛЯЮ:

1. Утвердить Порядок проведения оценки эффективности реализации муниципальных программ Тюхтетского округа и критериев оценки эффективности реализации муниципальных программ Тюхтетского округа согласно приложению.

2. Признать утратившими силу постановления администрации Тюхтетского района:

от 21.10.2019 № 296-п «Об утверждении Порядка оценки эффективности реализации муниципальных программ Тюхтетского района и критериев оценки эффективности реализации муниципальных программ Тюхтетского района Красноярского края».

3. Опубликовать настоящее постановление в газете «Голос Тюхтета» и разместить на официальном сайте органов местного самоуправления Тюхтетского муниципального округа в сети Интернет.

4. Контроль за выполнением настоящего постановления возложить на заместителя главы Тюхтетского муниципального округа по экономике и финансам (Е.А. Кориш).

5. Настоящее постановление вступает в силу в день, следующий за днем его официального опубликования.

 

Глава Тюхтетского
муниципального округа
Г.П. Дзалба


 

Приложение
к постановлению администрации
Тюхтетского муниципального округа
от 17.03.2023 № 39-п

Порядок проведения оценки эффективности реализации муниципальныхпрограмм Тюхтетского округа и критериев оценки эффективности реализации муниципальных программ Тюхтетского округа

1. Общие положения

1.1. Порядок проведения оценки эффективности реализации муниципальных программ Тюхтетского округа и критериев оценки эффективности реализации муниципальных программ Тюхтетского округа (далее - Порядок) определяет правила оценки эффективности муниципальных программ, правила принятия решения об эффективности реализации муниципальных программ за отчетный год.

1.2. Для целей настоящего Порядка используются следующие основные понятия:

муниципальная программа (далее - Программа) - документ стратегического планирования, содержащий комплекс планируемых мероприятий, взаимоувязанных по задачам, срокам осуществления, исполнителям и ресурсам, обеспечивающих наиболее эффективное достижение целей и решение задач социально-экономического развития

цель муниципальной программы - прогнозируемое состояние в соответствующей сфере социально-экономического развития Тюхтетского округа, которое планируется достичь посредством реализации муниципальной программы. Достижение цели обеспечивается за счет решения задач муниципальной программы;

задача муниципальной программы - результат реализации совокупности взаимосвязанных мероприятий, направленных на достижение поставленной цели;

решение задачи муниципальной программы - выполнение комплекса мероприятий, которые должны быть проведены в определенный период времени и реализация которых способствует достижению цели муниципальной программы;

целевой индикатор и показатель результативности муниципальной программы - количественно (качественно) выраженные характеристики достижения цели и задач муниципальной программы;

результаты (конечные, ожидаемые) муниципальной программы - выраженный в количественно измеримом показателе результат достижения цели муниципальной программы, задач муниципальной программы, характеризующий общественно значимый результат деятельности и полученные социальные эффекты;

1.3. Оценка эффективности реализации муниципальных программ - оценка уровня достижения установленных значений целевых индикаторов, показателей результативности муниципальной программы, а также конечных результатов ее реализации и эффективность использования бюджетных ассигнований, направленных на реализацию муниципальной программы;

1.4. Оценка эффективности реализации муниципальной программы осуществляется в соответствии с методикой проведения оценки эффективности реализации муниципальных программ муниципального образования Тюхтетский муниципальный округ Красноярского края, позволяющей определить уровень достижения установленных значений целевых индикаторов, показателей результативности муниципальной программы, а также конечных результатов ее реализации и эффективность использования бюджетных ассигнований, направленных на реализацию муниципальной программы.

1.5. Оценка эффективности реализации муниципальной программы проводится ответственным исполнителем муниципальной программы ежегодно. Результаты оценки эффективности реализации муниципальной программы представляются в составе годового отчета ответственного исполнителя муниципальной программы о ходе ее реализации и об оценке эффективности реализации;

1.6. Оценка эффективности реализации муниципальной программы за отчетный год осуществляется с использованием следующих критериев:

- полнота и эффективность использования бюджетных ассигнований на реализацию Программы;

- достижение целевых показателей муниципальной программы (с учетом уровня финансирования по муниципальной программе);

- достижение показателей результативности муниципальной программы (с учетом весовых критериев показателей результативности, установленных в муниципальной программе);

- достижение показателей результативности по подпрограммам муниципальной программы и (или) отдельным мероприятиям муниципальной программы (с учетом финансирования по подпрограммам муниципальной программы и (или) отдельным мероприятиям муниципальной программы соответственно).

1.7. Результаты оценки эффективности реализации муниципальной программы оформляются согласно приложению к Порядку.

 

2. Методика оценки эффективности реализации муниципальных программ муниципального образования Тюхтетский муниципальный округ  Красноярского края

2.1. При проведении оценки эффективности реализации муниципальных программ в муниципальном образовании Тюхтетский округ Красноярского края (далее - оценка) рассчитываются и суммируются баллы, полученные по каждому из критериев оценки эффективности реализации муниципальных программ в муниципальном образовании Тюхтетский округ Красноярского края (далее соответственно - критерии, муниципальная программа).

2.2. При проведении оценки по результатам достижения целевых показателей муниципальной программы (с учетом уровня финансирования по муниципальной программе) рассчитывается средний уровень достижения целевых показателей муниципальной программы с учетом равной значимости всех целевых показателей муниципальной программы. При этом средний уровень достижения целевых показателей муниципальной программы сопоставляется с фактическим уровнем финансирования по муниципальной программе. В качестве плановых объемов финансирования принимать бюджетную роспись бюджета Тюхтетского округа Красноярского края (далее – округный бюджет) с учетом изменений.

Средний уровень достижения целевых показателей муниципальной программы рассчитывается по формуле:

''

где:

i - номер целевого показателя муниципальной программы;

Cцп - средний уровень достижения целевых показателей муниципальной программы;

Ицп - индекс фактического достижения значения каждого из целевых показателей муниципальной программы;

Кцп - количество целевых показателей муниципальной программы.

В случае если большее значение целевого показателя муниципальной программы соответствует лучшему результату, индекс фактического достижения данного целевого показателя муниципальной программы рассчитывается по формуле:

''

в случае если меньшее значение целевого показателя муниципальной программы соответствует лучшему результату, индекс фактического достижения данного целевого показателя муниципальной программы рассчитывается по формуле:

''

где:

ПЗцп - плановое значение целевого показателя муниципальной программы;

ФЗцп - фактически достигнутое значение целевого показателя муниципальной программы;

индекс фактического достижения целевого показателя муниципальной программы для целевых показателей муниципальной программы, имеющих значение с условием (например, "не более" или "не менее"), при соблюдении условий принимается равным 1, при несоблюдении условий рассчитывается по формулам для расчета индекса фактического достижения целевого показателя муниципальной программы, указанным в настоящем пункте.

В случае если фактические объемы финансирования муниципальной программы сохранили плановые объемы финансирования муниципальной программы либо меньше плановых объемов финансирования муниципальной программы на 10 и менее процентов, средний уровень значения целевого показателя муниципальной программы составил:

от 0,9 включительно до 1,1 включительно, то присваивается 9 баллов;

от 1,1 до 1,3 включительно либо от 0,7 включительно до 0,9, то присваивается 6 баллов;

от 1,3 до 1,5 включительно либо от 0,5 включительно до 0,7, то присваивается 3 балла;

от 1,5 либо до 0,5, то присваивается 0 баллов.

В случае если фактические объемы финансирования муниципальной программы меньше плановых объемов финансирования муниципальной программы более чем на 10 процентов, средний уровень значения целевого показателя муниципальной программы составил:

от 0,9 включительно до 1,1 включительно, то присваивается 10 баллов;

от 1,1 до 1,3 включительно либо от 0,7 включительно до 0,9, то присваивается 7 баллов;

от 1,3 до 1,5 включительно либо от 0,5 включительно до 0,7, то присваивается 3 балла;

от 1,5 либо до 0,5, то присваивается 0 баллов.

2.3. При проведении оценки по результатам достижения показателей результативности муниципальной программы рассчитывается средний уровень достижения показателей результативности муниципальной программы с учетом весовых критериев показателей результативности муниципальной программы, установленных в муниципальной программе. При этом весовой критерий показателя результативности муниципальной программы умножается на индекс фактического достижения значения соответствующего показателя результативности муниципальной программы.

Средний уровень достижения показателей результативности муниципальной программы рассчитывается по формуле:

''

где:

Cпр - средний уровень достижения показателей результативности муниципальной программы;

Ипрi - индекс фактического достижения значения i-го из показателей результативности муниципальной программы;

Bпрi - весовой критерий соответствующего показателя результативности муниципальной программы, установленный в муниципальной программе.

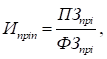
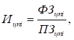
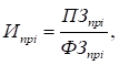
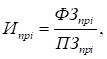
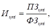
В случае если большее значение показателя результативности муниципальной программы соответствует лучшему результату, индекс фактического достижения данного показателя результативности муниципальной программы рассчитывается по формуле:

''

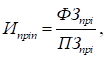
в случае если меньшее значение показателя результативности муниципальной программы соответствует лучшему результату, индекс фактического достижения данного показателя результативности муниципальной программы рассчитывается по формуле:

''

где:

ПЗпрi - плановое значение i-го показателя результативности муниципальной программы;

ФЗпрi - фактически достигнутое значение i-го показателя результативности муниципальной программы;

индекс фактического достижения показателя результативности муниципальной программы для показателей результативности муниципальной программы, имеющих значение с условием (например, "не более" или "не менее"), при соблюдении условий принимается равным 1, при несоблюдении условий рассчитывается по формулам для расчета индекса фактического достижения показателя результативности муниципальной программы, указанным в настоящем пункте.

В случае если средний уровень достижения показателей результативности составил:

от 0,9 включительно до 1,1 включительно, то присваивается 10 баллов;

от 1,1 до 1,3 включительно либо от 0,7 включительно до 0,9, то присваивается 7 баллов;

от 1,3 до 1,5 включительно либо от 0,5 включительно до 0,7, то присваивается 3 балла;

от 1,5 либо до 0,5, то присваивается 0 баллов.

2.4. При проведении оценки по результатам достижения показателей результативности по подпрограммам муниципальной программы и (или) отдельным мероприятиям муниципальной программы рассчитывается средний уровень достижения показателей результативности по каждой из подпрограмм муниципальной программы и (или) по каждому отдельному мероприятию муниципальной программы, без учета весовых критериев. Средний уровень достижения показателей результативности по подпрограммам муниципальной программы и (или) отдельным мероприятиям муниципальной программы сопоставляется с фактическим уровнем финансирования по соответствующей подпрограмме муниципальной программы и (или) по соответствующему отдельному мероприятию муниципальной программы. В качестве плановых объемов финансирования муниципальной программы принимать бюджетную роспись окружного бюджета с учетом изменений.

Средний уровень достижения показателей результативности по n-й подпрограмме муниципальной программы и (или) n-му отдельному мероприятию муниципальной программы рассчитывается по формуле:

''

где:

Cпрп - средний уровень достижения показателей результативности по n-й подпрограмме муниципальной программы и (или) n-му отдельному мероприятию муниципальной программы;

Ипрin - индекс фактического достижения значения каждого из показателей результативности по n-й подпрограмме муниципальной программы и (или) n-му отдельному мероприятию муниципальной программы;

Кпрп - количество показателей результативности, заявленных в n-й подпрограмме муниципальной программы и (или) n-м отдельном мероприятии муниципальной программы.

В случае если большее значение показателя результативности по подпрограмме муниципальной программы и (или) отдельному мероприятию муниципальной программы соответствует лучшему результату, индекс фактического достижения данного показателя результативности рассчитывается по формуле:

''

в случае если меньшее значение показателя результативности по подпрограмме муниципальной программы и (или) отдельному мероприятию муниципальной программы соответствует лучшему результату, индекс фактического достижения данного показателя результативности рассчитывается по формуле:

''

где:

ПЗпрi - плановое значение показателя результативности по подпрограмме муниципальной программы и (или) отдельному мероприятию муниципальной программы;

ФЗпрi - фактически достигнутое значение показателя результативности по подпрограмме муниципальной программы и (или) отдельному мероприятию муниципальной программы;

индекс фактического достижения показателя результативности по подпрограмме муниципальной программы и (или) отдельному мероприятию муниципальной программы для показателей результативности по подпрограмме муниципальной программы и (или) отдельному мероприятию муниципальной программы, имеющих значение с условием (например, "не более" или "не менее"), при соблюдении условий принимается равным 1, при несоблюдении условий рассчитывается по формулам для расчета индекса фактического достижения показателя результативности по подпрограмме муниципальной программы и (или) отдельному мероприятию муниципальной программы, указанным в настоящем пункте.

В случае если фактические объемы финансирования по n-й подпрограмме муниципальной программы и (или) n-му отдельному мероприятию муниципальной программы сохранили плановые объемы финансирования по n-й подпрограмме муниципальной программы и (или) n-му отдельному мероприятию муниципальной программы либо меньше плановых объемов финансирования по n-й подпрограмме муниципальной программы и (или) n-му отдельному мероприятию муниципальной программы на 10 и менее процентов, средний уровень значения показателей результативности по n-й подпрограмме муниципальной программы и (или) n-му отдельному мероприятию муниципальной программы составил:

от 0,9 включительно до 1,1 включительно, то присваивается 9 баллов;

от 1,1 до 1,3 включительно либо от 0,7 включительно до 0,9, то присваивается 6 баллов;

от 1,3 до 1,5 включительно либо от 0,5 включительно до 0,7, то присваивается 3 балла;

от 1,5 либо до 0,5, то присваивается 0 баллов.

В случае если фактические объемы финансирования по n-й подпрограмме муниципальной программы и (или) n-му отдельному мероприятию муниципальной программы меньше плановых объемов финансирования по n-й подпрограмме муниципальной программы и (или) n-му отдельному мероприятию муниципальной программы более чем на 10 процентов, средний уровень значения показателей результативности по n-й подпрограмме муниципальной программы и (или) n-му отдельному мероприятию муниципальной программы составил:

от 0,9 включительно до 1,1 включительно, то присваивается 10 баллов;

от 1,1 до 1,3 включительно либо от 0,7 включительно до 0,9, то присваивается 7 баллов;

от 1,3 до 1,5 включительно либо от 0,5 включительно до 0,7, то присваивается 3 балла;

от 1,5 либо до 0,5, то присваивается 0 баллов.

Подпрограмма муниципальной программы и (или) отдельное мероприятие муниципальной программы признаются:

высокоэффективной (ым) при получении 10 (включительно) баллов;

эффективной (ым) при получении от 7 баллов (включительно) до 10 баллов;

среднеэффективной (ым) при получении от 3 баллов (включительно) до 7 баллов;

неэффективной (ым) при получении менее 3 баллов.

Для оценки достижения показателей результативности по подпрограммам муниципальных программ и (или) отдельным мероприятиям муниципальных программ рассчитывается средний балл по формуле:

''

где:

Cnps - средний уровень достижения показателей результативности по подпрограммам муниципальной программы и (или) отдельным мероприятиям муниципальной программы;

Nbn - количество баллов по n-й подпрограмме муниципальной программы и (или) n-му отдельному мероприятию муниципальной программы;

K - количество подпрограмм муниципальной программы и (или) отдельных мероприятий муниципальной программы, заявленных в данной муниципальной программе;

Sfn - объем фактического финансирования по n-й подпрограмме муниципальной программы и (или) n-му отдельному мероприятию муниципальной программы;

Sfp - объем фактического финансирования по муниципальной программе.

2.5. При оценке производится суммирование полученных баллов по всем критериям по формуле:

Оэ = КCцп + КCnp + КCnps,

где:

KCцп - количество баллов по критерию "Достижение целевых показателей муниципальной программы (с учетом уровня финансирования по муниципальной программе)";

KCпр - количество баллов по критерию "Достижение показателей результативности муниципальной программы (с учетом весовых критериев показателей результативности, установленных в муниципальной программе)";

KCпрs - количество баллов по критерию "Достижение показателей результативности по подпрограммам муниципальной программы и (или) отдельным мероприятиям муниципальной программы (с учетом финансирования по подпрограммам муниципальной программы и (или) отдельным мероприятиям муниципальной программы соответственно)".

Муниципальная программа признается:

высокоэффективной - при получении 28 (включительно) и более баллов;

эффективной - при получении от 20 баллов (включительно) до 28 баллов;

среднеэффективной - при получении от 12 баллов (включительно) до 20 баллов;

неэффективной - при получении менее 12 баллов.

 

3. Принятие решения об эффективности реализации программы

3.1. Результаты оценки эффективности оформляются в виде отдельного приложения к годовому отчету о реализации муниципальной программы.

В случаях если в результате реализации муниципальной программы сложилась сумма бюджетных ассигнований, не исполненных по объективным причинам, ответственный исполнитель муниципальной программы представляет заключение о взаимосвязи сложившейся экономии с достижением целевых индикаторов и показателей результативности муниципальной программы.

3.2. Отдел планирования и экономического развития администрации Тюхтетского округа (далее – ОПиЭР) на основании полученных оценок до 1 апреля текущего финансового года формирует сводную оценку эффективности реализации муниципальных программ и включает ее в сводный отчет о ходе реализации муниципальных программ за отчетный год.

3.3. Признание реализации муниципальной программы высокоэффективной, эффективной и среднеэффективной является основанием для принятия решения о включении муниципальной программы, планируемой к реализации в очередном финансовом году в соответствующей сфере (области) муниципального управления, в перечень муниципальных программ муниципального образования Тюхтетский округ Красноярского края, утверждаемый постановлением администрации Тюхтетского округа Красноярского края (далее - перечень муниципальных программ).

3.4. Признание реализации муниципальной программы неэффективной может являться основанием для принятия решения об изменении либо прекращении действия муниципальной программы в соответствующей сфере (области) муниципального управления, в том числе о необходимости изменения объема бюджетных ассигнований на финансовое обеспечение реализации муниципальной программы, целей и задач, целевых индикаторов и показателей результативности, начиная с очередного финансового года.

3.5. В целях принятия решения по изменению, сохранению объема расходов на реализацию муниципальной программы, целей и задач, целевых индикаторов и показателей результативности муниципальной программы или по прекращению ее реализации ответственный исполнитель муниципальной программы осуществляет работу по выявлению причин отклонений основных показателей, их детальному анализу, разработке мероприятий и рекомендаций для повышения эффективности реализации муниципальной программы.

Данная работа оформляется в виде отчета и подлежит обязательному рассмотрению на заседании комиссии по повышению результативности бюджетных расходов бюджета Тюхтетского муниципального округа, созданной и утвержденной распоряжением администрации Тюхтетского муниципального округа (далее – комиссия) в отчетном финансовом году, которое организуется ответственным исполнителем не позднее 1 июня текущего финансового года.

Окончательное решение об изменении, сохранении объема расходов на реализацию муниципальной программы, целей и задач, целевых индикаторов и показателей результативности муниципальной программы или прекращении ее реализации принимается Комиссией и оформляется в виде протокола, который подписывается ответственным исполнителем муниципальной программы и секретарем. Протокол комиссии направляется на согласование главе Тюхтетского округа, в финансовый отдел администрации Тюхтетского округа, в отдел планирования и экономического развития администрации Тюхтетского округа, и ответственному исполнителю муниципальной программы.

3.6. В случае принятия решения о продолжении реализации муниципальной программы протокол Комиссии является основанием для включения муниципальной программы, планируемой к реализации в очередном финансовом году и плановом периоде в соответствующей сфере (области) муниципального управления, в перечень муниципальных программ.

3.7. Принятое решение об изменении или сохранении объема расходов на реализацию муниципальной программы, целей и задач, целевых индикаторов и показателей результативности муниципальной программы для реализации в очередном финансовом году учитывается при формировании проекта муниципальной программы, который разрабатывается и представляется ответственным исполнителем муниципальной программы в соответствии с Порядком принятия решений о разработке муниципальных программ Тюхтетского округа Красноярского края, их формирования и реализации, утвержденным постановлением администрации Тюхтетского муниципального округа.

В пояснительной записке к проекту муниципальной программы должны содержаться результаты проведенной работы по рассмотрению итогов проведенной оценки эффективности муниципальной программы и принятое решение об изменении либо сохранении объема расходов на ее реализацию, целей и задач, целевых индикаторов и показателей результативности.

3.8. Решение о прекращении реализации муниципальной программы в очередном финансовом году и плановом периоде отражается в пояснительной записке к перечню муниципальных программ на очередной финансовый год и плановый период, который утверждается распоряжением администрации Тюхтетского муниципального  округа до 1 августа текущего финансового года.

 

 

Приложение к порядку проведения
оценки эффективности реализации
муниципальных программ
в муниципальном образовании
Тюхтетский округ Красноярского края

Результаты
оценки эффективности реализации муниципальной программы

___________________________________________________________

___________________________________________________________
(наименование муниципальной программы, по которой проведена оценка эффективности реализации)

___________________________________________________________

___________________________________________________________
(наименование органа исполнительной власти администрации Тюхтетского округа, его
функционального подразделения и (или) главного распорядителя бюджетных средств,
определенного в соответствии с перечнем муниципальных программ, утвержденным
постановлением администрации Тюхтетского округа, в качестве ответственного
исполнителя муниципальной программы)

Достижение целевых показателей муниципальной программы (с учетом уровня финансирования по муниципальной программе)

1

2

Средний уровень достижения целевых показателей муниципальной программы

 

Уровень финансирования по муниципальной программе <*>

 

Количество присвоенных баллов по критерию "Достижение целевых показателей муниципальной программы (с учетом уровня финансирования по муниципальной программе)"

 

Достижение показателей результативности муниципальной программы (с учетом весовых критериев показателей результативности, установленных в муниципальной программе)

Средний уровень достижения показателей результативности муниципальной программы с учетом весового критерия

 

Количество присвоенных баллов по критерию "Достижение показателей результативности муниципальной программы (с учетом весовых критериев показателей результативности, установленных в муниципальной программе)"

 

Достижение показателей результативности по подпрограммам муниципальной программы и (или) отдельным мероприятиям муниципальной программы (с учетом финансирования по подпрограммам муниципальной программы и (или) отдельным мероприятиям муниципальной программы соответственно)

Средний уровень достижения показателей результативности по 1-й подпрограмме муниципальной программы

 

Уровень финансирования по 1-й подпрограмме муниципальной программы

 

Результат оценки эффективности реализации 1-й подпрограммы муниципальной программы с указанием количества присвоенных баллов

 

...

 

Средний уровень достижения показателей результативности по n-й подпрограмме муниципальной программы

 

Уровень финансирования по n-й подпрограмме муниципальной программы

 

Результат оценки эффективности реализации n-й подпрограммы муниципальной программы с указанием количества присвоенных баллов

 

Средний уровень достижения показателей результативности по 1-му отдельному мероприятию муниципальной программы

 

Уровень финансирования по 1-му отдельному мероприятию муниципальной программы <*>

 

Результат оценки эффективности реализации 1-го отдельного мероприятия муниципальной программы с указанием количества присвоенных баллов

 

...

 

Средний уровень достижения показателей результативности по n-му отдельному мероприятию муниципальной программы

 

Уровень финансирования по n-му отдельному мероприятию муниципальной программы

 

Результат оценки эффективности реализации 1-го отдельного мероприятия муниципальной программы с указанием количества присвоенных баллов

 

Количество присвоенных баллов по критерию "Достижение показателей результативности по подпрограммам муниципальной программы и (или) отдельным мероприятиям муниципальной программы (с учетом финансирования по подпрограммам муниципальной программы и (или) отдельным мероприятиям муниципальной программы соответственно)"

 

Результат оценки эффективности реализации муниципальной программы с указанием количества присвоенных баллов

 

--------------------------------

<*> Уровень финансирования определяется как отношение фактического объема финансирования муниципальной программы к плановому объему финансирования муниципальной программы.

   

Руководитель структурного подразделения администрации
– ответственного исполнителя Программы ___________ ___________________
                                                                                                              подпись                расшифровка подписи

 

 

 

Приложения
Документ Дата публикации
Текст постановления в формате PDF 20.03.2023